Simulation von Schaltungen
Simulationssoftware DSimWeb
Das Simulationsprogramm wird aufgerufen mit:
Ein Beispiel, realisiert mit DSimWeb
Aufgabe |
|
Versuche, wenn möglich, in einem zweiten Fenster die beschriebenen Schritte mit DSimWeb auszuführen |
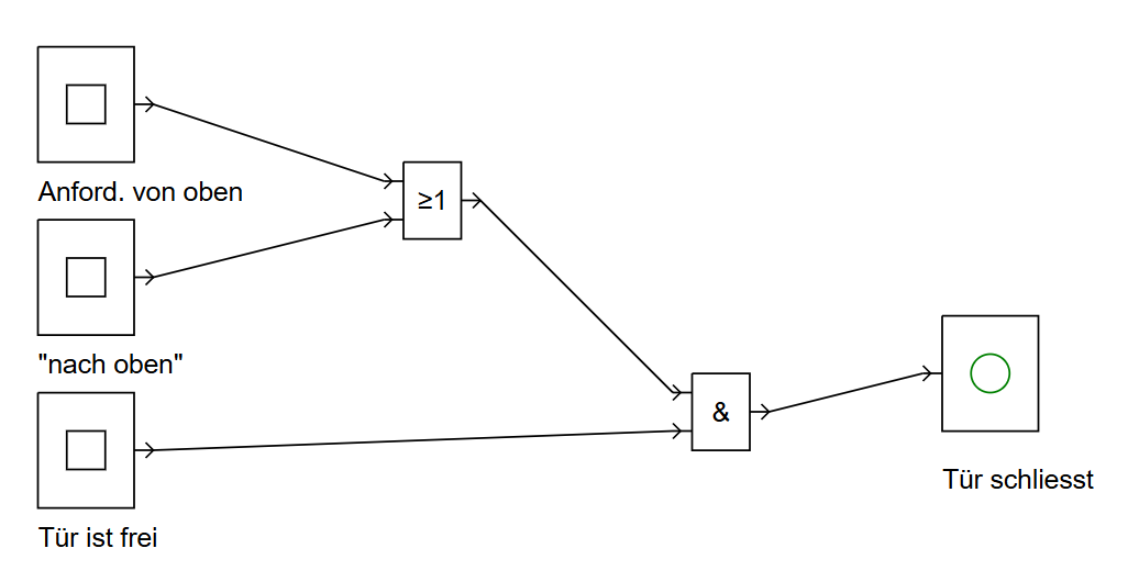
Wir wollen die vereinfachte Aufzugssteuerung aus dem vorherigen Kapitel simulieren;

Zuerst brauchen wir drei Schalter:
a) "Schalter" anklicken, dann über der Zeichenfläche klicken - ein Schalter.

Der dritte Schalter ist verrutscht? Kein Problem!
Wir klicken auf das Pfeil-Symbol
dann auf den dritten Schalter, halten die linke Maustaste fest und schieben ihn an die richtige Stelle.
Genauso fügen wir die weiteren Bauteile (ODER, UND und LED) ein:

b) Die Verkabelung:
Wir gehen mit der Maus über den Ausgang der LED (wird rot), klicken dort und gehen mit der Maus (die Leitung kommt hinterher) zum Eingang des Oder-Bausteins (wird rot), klicken auch dort und die Leitung ist fertig (schwarz).

Man kann durch Zwischenklicks Leitungen auch "um die Ecke" legen.
Leitungen fangen immer in einem Ausgang an und enden an einem Eingang.
c) Beschriftung:
"Textfelder stehen in der Liste der Bauteile weiter unten.

Die Textfelder wie Bauteile auf der Zeichenfläche ablegen (Klick).

Wenn alle da sind, in der "Bearbeiten-Modus" umschalten.
, eines der Textfelder anklicken, rechts oben auf der Zeichenfläche erscheint das Eingabefeld für die Texte:

Dort den Text eingeben bzw. ändern. Genauso mit den anderen Textfeldern verfahren.
d) Simulation
Um die Schaltung zu testen, klicken wir auf den Pfeil für die Simulation in der Bedienleiste:
Bediene die Schalter (Mausklick), beobachte die Auswirkungen: Leitungen werden rot (Strom fließt), LED leuchtet.
Die Bedienleiste von DSimWeb

| Symbol | Bedeutung | Beschreibung |
|---|---|---|
| neues Projekt | vorhandene Schaltung verschwindet; gespeichert? |
|
| Simulation | Simulationsmodus; Schalter springen beim Antippen um (0 - 1); Leitungen mit Wert 1 sind rot |
|
| Bearbeiten | Bearbeiten-Modus; Bauteile einfügen und Eigenschaften (Text) ändern, Leitungen ziehen |
|
| Löschen | Lösch-Modus; Bauteile und Leitungen durch Antippen löschen |
|
| Ecke einfügen | Leitungen antippen zum Einfügen einer Ecke, dann Ecke an die geplante Stelle ziehen |
|
| Rückgängig | letzte Änderung zurücknehmen | |
| Wiederherstellen | "Rückgängig" zurücknehmen | |
| Speichern | Schaltung speichern (unter "Download") | |
| Speichern unter | Projektnamen eingeben und dann speichern | |
| Laden | Projekt im Speicher (Download?) auswählen und laden zum Testen / Bearbeiten |
|
| Modul laden | Wird hier niicht benutzt. | |
| Screenshot | Bild der Schaltung speichern | |
| Fullscreen | DSimWeb auf der ganzen Fläche darstellen |
Aufgabe